Der Film Kingsman: The Secret Service erschien im Jahr 2014. Die Geschichte handelt vom britischen Strassenjungen Eggsy, der vom Geheimdienst der Kingsman rekrutiert wird. Dort durchläuft er ein hartes Rekrutenprogramm und wird zum Geheimagenten ausgebildet.
Die ausgewählte Szene beginnt damit, dass alle Rekruten und Rekrutinnen in einem Flugzeug sitzen. Der Ausbildner Merlin teilt ihnen über einen Lautsprecher ihre Aufgabe mit. Sie müssen aus dem Flugzeug springen und innerhalb eines markierten Feldes landen, ohne vom Radar erfasst zu werden. Sobald sich alle in der Luft befinden, wird ihnen gesagt, dass bei einem von ihnen der Fallschirm nicht funktioniert und sie nun eine Lösung finden müssen. Die Rekruten öffnen nacheinander ihre Fallschirme bis sich nur noch Eggsy und die Rekrutin Roxy mit geschlossenem Fallschirm im freien Fall befinden. Sie halten sich aneinander fest und Eggsy öffnet sehr knapp über dem Boden ihren Fallschirm, was ihren Fall verlangsamt. Beide prallen innerhalb der vorgegebenen Markierung auf den Boden auf.
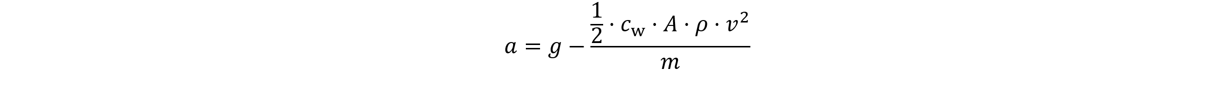
Wenn eine Person für einen Fallschirmsprung aus dem Flugzeug springt, erfolgt eine Beschleunigung Richtung Zentrum der Erde. Dies geschieht, weil verschiedene Kräfte auf den Körper wirken. Eine davon ist die Gewichtskraft. Sie ist von der Fallbeschleunigung und der Masse des fallenden Körpers abhängig.
Die Fallbeschleunigung auf der Erde kann leicht variieren, hier wird mit g = -9.81 m/s2 gerechnet.
Der Luftwiderstand wird zunächst vernachlässigt.
Die Gesetze des freien Falls stimmen mit denen einer gleichmässig beschleunigten Bewegung überein. Dabei wird für die Beschleunigung a die Fallbeschleunigung g eingesetzt.
Zum Zeitpunkt des Absprungs aus dem Flugzeug haben Eggsy und Roxy eine Startgeschwindigkeit v0 = 0 m/s und noch keine Strecke h0 zurückgelegt.
Wenn Eggsy und Roxy aus einer Höhe von 9'144 m springen, würden sie ohne andere Parameter miteinzubeziehen, kurz bevor sie den Fallschirm öffnen eine Geschwindigkeit von -1'517-18 km/h erreichen. Diese Geschwindigkeit liegt nicht im Bereich des Möglichen. Der Weltrekord der höchsten Geschwindigkeit im freien Fall, welcher von Felix Baumgartner aufgestellt wurde, liegt bei 1'342.8 km/h.
Bei einem standardisierten Fallschirmsprung werden Geschwindigkeiten von ungefähr 200 km/h erreicht. Die zu hohen Resultate obiger Rechnung liegen daran, dass die Reibung vernachlässigt wurde. Ohne die Reibungskraft wäre es gar nicht möglich, einen Fallschirmsprung durchzuführen, da eine so hohe Geschwindigkeit erreicht werden würde, dass kein Mensch einen solchen Sprung überleben könnte.
Die Reibung ist eine Kraft, die eine Bewegung zweier Körper, hier Mensch und Luft, gegeneinander erschwert. Sie ist eine bremsende Kraft.
Fallende Körper beschleunigen sich, bis sie eine konstante Geschwindigkeit erreichen. Dies ist eine Folge der Luftreibung. Ein Körper bewegt sich so lange beschleunigt, bis die entgegenwirkende Beschleunigung, beziehungsweise eine Bremskraft aR den gleichen Betrag wie die Fallbeschleunigung g erreicht. Der Körper fällt dann mit einer konstanten Geschwindigkeit; der Endgeschwindigkeit vt.
Für die Formel der Endgeschwindigkeit wird die obige Formel nach v aufgelöst, dabei ist |g|=|aR |
Eggsy und Roxy erreichen dementsprechend eine wesentlich tiefere Geschwindigkeit als die oben ausgerechnete.
Kurz bevor sie den Fallschirm öffnen fallen sie also mit einer Geschwindigkeit von -233.09 km/h.
Wenn der Fallschirm geöffnet ist, vergrössert sich die Querschnittsfläche A = 14.8645 m2, die der Fallschirm der Luft entgegenstellt. Die Luftreibung vergrössert sich und die Endgeschwindigkeit verkleinert sich.
Bei gleichförmigen Bewegungen sind die Geschwindigkeit v und die Beschleunigung a konstant. Im Alltag, wie auch bei der Fallschirmszene sind solche konstanten Werte bei Bewegungen die Ausnahme, da sich der Luftwiderstand kontinuierlich ändert, so auch die Beschleunigung und Geschwindigkeit. Um die benötigten Variablen einer Bewegung ohne konstante Beschleunigung a nun bestimmen zu können, wird die Methode der kleinen Schritte benötigt.
Nebst dieser Methode gäbe es die Möglichkeit der Integralrechnung, mit der die Bewegung berechnet werden könnte. Diese Herleitung und Rechnung würde den Rahmen dieser Arbeit jedoch sprengen. Die Methode der kleinen Schritte ist eine genügend präzise Annäherung der Bewegung, um am Schluss eindeutig sagen zu können, ob die Szene realistisch ist oder nicht.
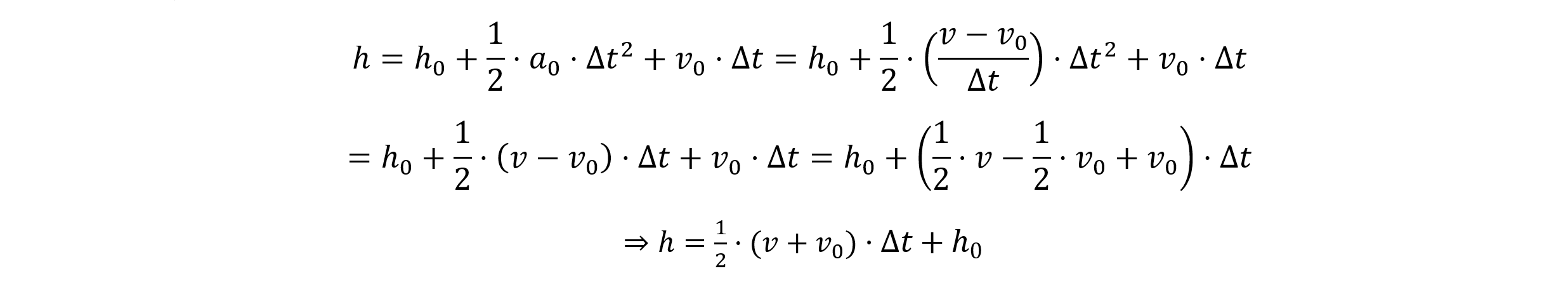
Bei dieser Methode wird der Bewegungsablauf in kleine Zeitspannen ∆t aufgeteilt. So kann die Geschwindigkeit und die zurückgelegte Strecke an bestimmten Zeitpunkten des Bewegungsablaufs bestimmt werden. Es wird angenommen, dass die wirkende Kraft während diesen Zeitintervallen konstant sei. Mit den Gesetzen der gleichförmig beschleunigten Bewegung und den Anfangsvariablen können nun die Geschwindigkeit, die Beschleunigung und die zurückgelegte Strecke am Ende der jeweiligen Zeitspanne bestimmt werden. Diese sind dann erneut die Startwerte für die nächste Zeitspanne.
Damit die wirkende Kraft als konstant angenommen werden kann, müssen die Zeitintervalle, in welche der Bewegungsablauf aufgeteilt ist, genügend kurz sein. Ein Zeitintervall ∆t ist bei dieser Rechnung ∆t = 0.01 s kurz. Die Zeitspanne wurde so klein wie möglich gewählt, damit mit Excel noch gut gerechnet werden kann, da ansonsten die Anzahl der Berechnungen sehr gross wird.
Die Geschwindigkeit in einem Zeitintervall lässt sich wie folgt bestimmen:
Es gilt v1 = v0 + a⋅∆t.
Die Beschleunigung, die innerhalb eines Zeitintervalls erfolgt, wird wie folgt bestimmt:
Die zurückgelegte Strecke, hier beziehungsweise die gefallene Höhe, wird wie folgt bestimmt:
Bei dem zu untersuchenden Fallschirmsprung wird der Bewegungsablauf von der Öffnung des Fallschirms in der Höhe h=91.44 m bis zum Aufprall auf den Boden der zwei Personen mit der Methode der kleinen Schritte beschrieben. Das Ziel ist es, die Geschwindigkeit zu berechnen mit der Roxy und Eggsy auf den Boden aufschlagen.
Dafür wird die Geschwindigkeit beim Schritt in der Tabelle abgelesen, bei dem sie eine Strecke von 91.44 m zurückgelegt haben. Die Bewegung wird in Zeitspannen von ∆t=0.01 s eingeteilt mit einer Anfangsgeschwindigkeit von v = -64.75 m/s2 . Dies ist die oben ausgerechnete Endgeschwin-digkeit, die Eggsy und Roxy im freien Fall mit geschlossenem Fallschirm erreichen.
Die Berechnungen werden mithilfe von Excel gemacht. Es werden Beschleunigung, Geschwindigkeit und zurückgelegte Strecke jedes Zeitintervalls ausgerechnet.
Es ist zu sehen, dass die beiden Personen während des Fallens ihre Endgeschwindigkeit von
v = -10.0282 m/s = -36.1015 km/h erreichen. Das heisst, sie treffen mit dieser Geschwindigkeit auf den Boden auf, mit einer Fallzeit nach dem Öffnen des Fallschirms von 7.81 s bis 7.82 s. Die Schritte 782 und 783 sind in der Tabelle 1 grau eingezeichnet, da Roxy und Eggsy genau dann auf den Boden aufschlagen.
Bei den bisherigen Berechnungen wurde die Öffnungszeit des Fallschirms vernachlässigt, um die Bedingungen möglichst optimistisch zu gestalten, so dass die Szene in Realität möglich wäre. Doch unter Einbezug der Öffnungszeit des Fallschirms würden die beiden Personen sicherlich nicht überleben.
Ein Fallschirm wird normalerweise bei einer Mindesthöhe von 1’500 bis 700 Metern geöffnet. Die vollständige Öffnung kann zwei bis fünf Sekunden dauern. Es gibt jedoch Packarten für Fallschirme, die es Fallschirmspringenden ermöglichen, dass der Schirm schon nach kürzerer Zeit und weniger Verlust von Höhe vollständig geöffnet ist. Die Extremsportart Base-Jumping ist darauf ausgerichtet, dass von kleinen Höhen wie Gebäuden gesprungen wird. BASE steht dafür für Building, Antenna, Span und Earth (Klippen und Felswände). Die Sportart ist sehr gefährlich, seit 1981 gab es auf der Welt 462 Todesfälle (Stand August 2023). Damit die Fallschirme sich schnell öffnen, um von kleinen Höhen springen zu können, gibt es ganz spezielle Ausrüstungen und Packarten für den Fallschirm, dies ermöglichen.
In der Fallschirmszene ist jedoch zu erkennen, dass der Fallschirm eher länger benötigt, um sich zu öffnen. Aufgrund von vielen Schnitten im Film, ist es nicht möglich zu sagen, wie lange dieser Vorgang dauert.
Es wird eine optimistische Annahme von zwei Sekunden getroffen. In dieser Zeit kann die Person, oder im Fall dieser Szene die zwei Personen, etwa 200 Meter in die Tiefe fallen. Die Bremsbeschleunigung des sich öffnenden Fallschirms kann 20 m/s2 erreichen. Auch hier wird optimistisch von 20 m/s2 ausgegangen. Die Bremsbeschleunigung wird der Einfachheit halber als konstant angenommen, da nicht zu sagen ist, wie sich die Bremsbeschleunigung während des Öffnens verändert.
Nun wird die gefallene Höhe von Eggsy und Roxy berechnet, die sie während der Öffnung des Fallschirms zurücklegen:
Eggsy und Roxy würden also erst 1.94 Meter vor dem Boden die vollständige Bremsbeschleunigung eines geöffneten Fallschirms erfahren:
Zum Zeitpunkt, an dem sie 1.94 Meter über dem Boden sind, hätten sie folgende Geschwindigkeit:
Sie würden in dieser Distanz von 1.94 Metern nur noch ein wenig an Geschwindigkeit einbüssen. Das wird wieder mit der Methode der kleinen Schritte berechnet mit einer Startgeschwindigkeit von -24.75 m/s und Zeitintervallen von ∆t = 0.01 s
Die Distanz von 1.94 m wird in 0.08 s bis 0.09 s zurückgelegt. Um die Geschwindigkeit genau zu bestimmen, wird die Bewegung zwischen den grau markierten Schritten 9 und 10 nochmals in kleinere Zeitspannen aufgeteilt. So wird der Bewegungsablauf in dieser Zeitspanne erneut mit der Methode der kleinen Schritte beschrieben. Dabei wird mit einer Anfangsgeschwindigkeit vom neunten Schritt aus Tabelle 2 gerechnet v = -21.3426026 m/s und Zeitintervallen von ∆t=0.001 s.
Aus der grau markierten Zeile aus der Tabelle 3 kann herausgelesen werden, dass Eggsy und Roxy mit einer Geschwindigkeit von v = -21.17 m/s = -76.212 km/h auf den Boden aufprallen würden!
Eggsy und Roxy kommen mit einer Geschwindigkeit von 21.17 m/s=76.212 km/h auf. Bei einem normalen Standardfallschirmsprung kommen Personen mit einer durchschnittlichen Geschwindigkeit von 3.5 m/s bis 5 m/s beziehungsweise 12.6 km/h bis 18 km/h auf.
Es scheint also sehr unrealistisch, dass die beiden überleben oder den Aufprall mit so hoher Geschwindigkeit unverletzt überstehen würden. In der Filmszene prallen sie auf festem Boden auf und stehen wenige Minuten später unverletzt da, als ob nichts gewesen wäre.
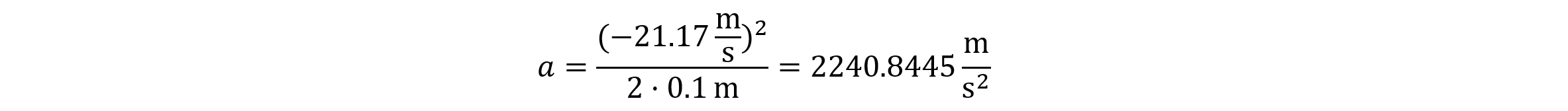
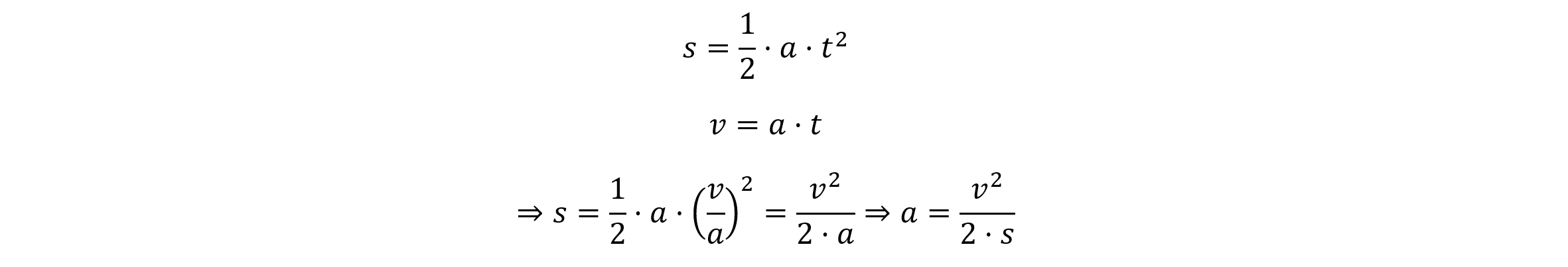
Die Körper von Roxy und Eggsy werden beim Aufprall belastet wegen einer starken Änderung der Geschwindigkeit. Diese Belastungen werden g-Kräfte genannt. Die g-Kraft ist ein Mass für die Beschleunigung, welche auf einen Gegenstand oder einen Menschen durch die Gravitation der Erde wirkt. Bei starken Änderungen von Richtung oder Geschwindigkeit, wie hier bei einem Zusammenstoss beziehungsweise Aufprall auf den Boden wirken hohe g-Kräfte. Um die g-Kräfte auszurechnen, welche auf die beiden Personen wirken, muss zuerst der Betrag der Beschleunigung berechnet werden, die ein Körper erfährt, wenn er abgebremst wird. Dafür wird das Weg-Zeit und das Geschwindigkeit-Zeit-Gesetz umgestellt:
Das Schwierige daran ist, dass nicht bekannt ist, innerhalb welcher Strecke dieser Bremsvorgang geschieht. Die zwei Personen landen auf einem Rasenplatz, der sich wahrscheinlich etwas eindrückt. Dafür muss jetzt eine Strecke angenommen werden. Um eine Schätzung vornehmen zu können, bin ich hierzu auf einen Rasenplatz gegangen und auf und ab gesprungen. Der Rasen hat sich hierbei etwa zwei bis vier Zentimeter eindrücken lassen. Die Qualität und der Zustand des Rasens haben hier einen grossen Einfluss darauf, wie stark der Rasen eingedrückt wird. Wenn der Rasen beispielsweise nass ist, lässt er sich mehr eindrücken als nach einem ganzen Tag Sonnenschein. Zudem wird beim Aufprall auch der Körper der Personen eingedrückt, da sie mit einer hohen Geschwindigkeit aufprallen. Es wird eine Strecke von 10cm angenommen.
Um nun herauszufinden, wie viele g-Kräfte dieser Beschleunigung entsprechen, muss die Beschleunigung durch die Erdanziehungskraft dividiert werden:
Das heisst, Roxy und Eggsy würden ungefähr 228.4 g erfahren. Welche g-Belastung eine Person aushalten kann, hängt von der Zeit ab, während der die Person der Belastung ausgesetzt ist. Menschen können mit der richtigen Ausrüstung, die in speziellen Autos zu finden ist, bis zu 100 g bei einem Aufprall standhalten, ohne verletzt zu werden. Eggsy und Roxy haben jedoch keine solche Ausrüstung und sind einer erheblich grösseren Belastung ausgesetzt.
Wenn nun als erstes Eggsys Beine auf den Boden auftreffen und einer Belastung von 228.4 g ausgesetzt werden, wenn auch nur für einen Sekundenbruchteil, würden Verletzungen, Frakturen und der Tod folgen. Da Roxy kurz darauf auch mit den Beinen voran folgt, würde mit ihr dasselbe geschehen.
Es ist möglich, dass Personen solche Stürze aus grosser Höhe überleben. Doch werden diese dabei meist schwerer verletzt. Im Jahr 2006 überlebte ein Skydiving-Lehrer aus Neuseeland einen Fallschirmsprung aus 4’500 Metern. Der Hauptfallschirm habe sich nicht richtig geöffnet und der Ersatzfallschirm habe nicht mehr funktioniert. Er fiel die gesamten 4’500 Meter im freien Fall und landete schliesslich in einem Brombeerbusch und brach sich mehrere Knochen.
2011 überlebte eine Dänin einen Sturz aus 1’000 Metern Höhe. Ihre ganze Ausrüstung habe versagt und so schlug sie, ohne gebremst zu werden auf einem Acker auf. Sie wurde ins Krankenhaus gebracht und war anscheinend nicht in Lebensgefahr.
Den Rekord für den Absturz aus grösster Höhe hält die serbische Stewardess Vesna Vulovic. Sie soll laut der tschechoslowakischen Staatssicherheit einen Sturz aus über 10'000 Metern ohne Fallschirm überlebt haben und steht mit diesem Absturz im Guinness-Buch der Rekorde.
Von solchen Geschichten wird oft gehört. Dies sind aber sehr seltene Ausnahmen und die Personen verletzten sich immer schwer, also nicht so wie hier im Film. Vermutlich gäbe es eine kleine Wahrscheinlichkeit, dass Eggsy und Roxy diesen Aufprall überleben könnten. Jedoch hätten sie sehr viel Glück für so ein Wunder benötigt, wie dies auch bei allen oben genannten Personen der Fall war. Was jedoch nahezu auszuschliessen ist, ist dass sie ohne weitere Verletzungen davonkämen.
Eggsy und Roxy sind nicht nur beim Aufprall einer schweren Belastung ausgesetzt. Auch während des Falles, während sie vom Fallschirm abgebremst werden, erfahren sie eine Bremsbeschleunigung. Bei einem normalen Fallschirmsprung kommt der Fallschirm schrittweise heraus, um die Menschen, die den Fallschirmsprung durchführen, keinen hohen Belastungen auszusetzen.
Es gibt viele verschiedene Faktoren, die dazu beitragen können, die Überlebenschancen bei so einem Sturz zu verbessern. In welcher Position eine Person aufkommt und auf welchen Untergrund jemand stürzt, kann entscheidend sein, ob man überlebt oder nicht. Es ist nicht geklärt, welche Position sich am besten eignet, um einen Sturz aus grosser Höhe zu überleben. Eine Position ist jedoch sicher falsch; mit dem Kopf voran aufzukommen, schadet den Überlebenschancen beträchtlich. Wenn eine Person seitlich aufkommt, kann sich die Kraft des Aufpralls auf den ganzen Körper verteilen. Wenn eine Person mit den Beinen zuerst aufkommt, kann der Aufprall von ihnen abgefangen werden. Dies kann jedoch dazu führen, dass die Beine zerschmettert werden oder es einen Schlag durch den Rücken gibt. In der Szene kommen Eggsy und Roxy mit den Beinen voran auf. Der Untergrund in der Szene ist ein Rasenplatz. Das heisst der Boden, auf dem sie aufkommen, ist eher hart. Sie erfahren eine Belastung von 228.4 g. Wenn sie nicht Glück haben und kein Wunder geschieht, wie bei Vesna Vulovic, die einen Fall aus über 10'000 Metern überlebt hat, würden sie sterben. Solchen Belastungen ausgesetzt zu sein, überlebt ein Mensch normalerweise nicht.
Die Fallschirmszene aus dem Film «Kingsman: The Secret Service» ist nicht realistisch. Die Geschwindigkeiten sowie auch der Aufprall sind nicht realistisch und physikalisch nicht korrekt dargestellt.